根据学校党史学习教育领导小组的工作安排,6月1日下午3点,学校党委副书记、纪委书记叶国英同志到工商管理学院党开展题为《杰出校友张增文的对党忠诚》专题讲座。讲座由俞彤同志主持,学院全体教职员工参加了本次讲座。
讲座中,叶国英同志介绍了张增文的生平事迹及建功立业的时代背景,并通过一个个生动形象的故事和一份份珍贵的历史资料,展示了一位为西藏建设发展作出特殊贡献的老乡亲、在战场上特别能战斗的老英雄、在藏区工作特别能吃苦的老西藏、进藏后特别能奉献的老革命、对党的事业绝对忠诚的老党员形象。同时,也让全院教职工对张增文的“对党忠诚”有了深刻的认识:一是国难当头的时候奔赴延安;二是挺进雪山的时候义无反顾;三是奋勇杀敌的时候不顾一切,四是被围74天的时候沉着果敢;五是犯了错误的时候咬定青山;六是戍边建藏的时候舍家为国;七是含冤受屈的时候坚定信念;八是组织关照的时候恳留边疆;九是回望奋斗的时候淡尽功名;十是年老赋闲的时候牵念民生。

图一 张增文同志

图二 张增文同志故居
2020年8月28日,习近平总书记在中央第七次西藏工作座谈会上的讲话指出:“要重视加强学校思想政治教育,把爱国主义精神贯穿各级各类学校教育全过程,把爱我中华的种子埋入每个青少年的心灵深处。要培育和践行社会主义核心价值观,不断增强各族群众对伟大祖国、中华民族、中华文化、中国共产党、中国特色社会主义的认同。”
习近平总书记在西藏工作座谈会上的重要讲话精神,是我们学党史、悟思想、办实事、开新局的重要指引,是我们学校加强大学生思想政治教育的基本方向。
张增文同志就是千千万万“对党忠诚”的党员之一,我们要深入研究、认真挖掘、全面利用,讲好张增文这个共产党员的故事,讲好他的家国情怀和边疆感情,学习他对党的绝对忠诚,传承共产党员身上的红色基因,充分利用红色资源开展大学生思想政治教育,为党育人、为国育才,培养合格的中国特色社会主义建设者和接班人。

图三 张增文手书墨宝

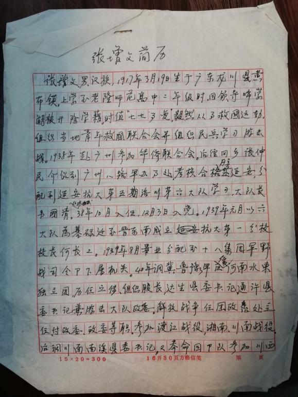
图四 张增文亲手撰写的个人简历

图五 阿沛·阿旺晋美(右一)与张增文(左二)会面
张增文,1917年出生,河源市龙川县黄布镇人,省立广东老隆师范学校校友。1937年投奔延安,1938年入延安抗大学习,同年加入中国共产党。曾任中共达生县委书记,八路军豫皖苏区团副政委、政委。1950年入藏,在藏工作34年。历任第二野战军第十八军团政委,中共西藏工委办公厅副主任,山南分工委副书记、第二书记,昌都地委第一书记,西藏自治区区委常委,西藏自治区人民政府副主席。1985年离休。2018年4月10日去世,享年102岁。
张增文同志逝世后,中共中央总书记、国家主席、中央军委主席习近平对他的逝世表示深切悼念,向其家属表示亲切问候并送花圈。李克强、汪洋、王岐山、杨晓渡、胡锦涛、朱镕基、温家宝、张德江、吴官正、张高丽等分别发来唁电或送花圈表示悼念。

图六 张增文同志追悼会(当年西藏卫视的新闻截图)